79. Ременные передачи. Достоинства и недостатки. Геометрические параметры
и их влияние на работоспособность передачи. Критерии оценки работоспособности.
Передаточное число. Вывод формулы для расчета соотношения сил в ведомой и
ведущей ветвях (формула Эйлера). Кривая скольжения.
Напряженное состояние ремня (эпюра напряжений).
Ременная передача – передача трением с гибкой связью.

1 – ведущий шкив;
2 – ведомый шкив;
3 – ремень.
Достоинства:
1) простота конструкции;
2) возможность передачи движения на значительные расстояния;
3) возможность работы с высокими частотами вращения;
4) плавность и бесшумность работы;
5) предохранение механизмов от перегрузок;
6) смягчение вибраций и толчков.
Недостатки:
1) большие радиальные размеры;
2) малая долговечность ремня быстроходных передач;
3) необходимость защиты ремня от попадания масла.
Критерии работоспособности:
1) тяговая способность (прочность сцепления ремня со шкивом);
2) долговечность ремня.
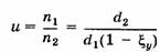
Передаточное число:
![]()
n1, n2 – частота вращения ведущего и ведомого шкивов, мин-1;
d1, d2 – диаметры шкивов, мм;
ξ=(v1-v2)/v1 – коэффициент скольжения.
Расчет на тяговую способность основан на использовании кривой скольжения.
Коэффициент тяги: ![]()

Кривые скольжения получены экспериментально при постоянных F0 (сила начального затяжения) и v1 (скорость ремня). Постепенно повышают полезную нагрузку – окружную силу на шкивах Ft и изменяют относительное скольжение.
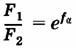
Формула Эйлера:
![]()
e – основание натурального логарифма;
f – коэффициент трения в передаче;
α – угол обхвата ремнем шкива при буксовании.
Геометрические параметры:

γ – угол между ветвями ремня.
Его находят из ∆О1АО2:
=>
![]()
Угол обхвата ремнем малого шкива:
![]()
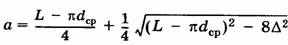
Длина ремня:
![]()
![]()
Межосевое расстояние для бесконечных ремней:
.